win7旗舰版

QQ浏览器拍照搜题怎么用(教程)[多图]

时间:2021-10-07 | 文章作者:残月

  qq浏览器拍照搜题怎么用(教程) QQ浏览器拍照搜题怎么用?QQ浏览器最近上线了“拍照识题”功能,拍照识题可以解答小学、初中、高中的大多数题目,拍照识题不仅仅给出答案,还会有详细的解析,不管是孩子自学还是家长给孩子改作业都很方便,那么QQ浏览器拍照识题怎么用呢?下面跟着浏览器家园小编来一起看看吧。

  QQ浏览器拍照识题怎么用?

  安装浏览器(点击下载)

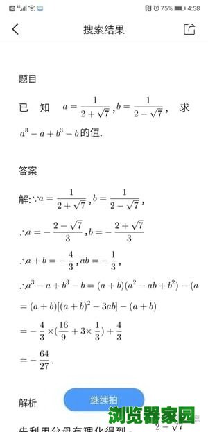
  打开手机QQ浏览器,只需下拉进入“识你所见”界面,选取“题目”功能,即可开始拍照进行题目搜索,

QQ浏览器拍照搜题怎么用(教程)[多图]

  系统将自动匹配对应的题目或者同类型题目的解题思路。

QQ浏览器拍照搜题怎么用(教程)[多图]

  除此之外,QQ浏览器还增加了“速算检查”功能,对于以算数为主的低年级小学生数学题,可以更加快速提供答案,帮助家长与学生提高检查算数作业的效率。

  QQ浏览器识你所见AI产品团队负责人介绍称,系统接收用户上传的图片后,识你所见经过预处理(即对图像的模糊、旋转、颜色反转等问题进行处理)、切分(对图片中的汉字、英文、符合加以区别)、识别(通过Deep Learning、标注数据、优化算法等对图中文字进一步识别)和NLP纠错(利用语言模型进行纠错)等步骤,将题目转化成文字,然后在题库中进行搜索,最终返回题目答案以及解析。

点击查看更多↓
软件下载
QQ浏览器鸿蒙版
134.92M
立即下载
相关软件
精彩推荐